Livro Projeto Geométrico De Rodovias Pdf Download

Detalhes de Livro Projeto Geométrico De Rodovias Pdf Download.

Livro Introduçao Ao Projeto Geometrico De Rodovias

Manual De Técnicas De Projetos Rodoviários Wlastermiler De

Livro Estradas De Rodagem Projeto Geométrico Glauco

Diagrama De Brückner Aprenda Como Funciona Guia Da Engenharia

Livro Pdf Estatística Aplicada Inferência Prof Msc

Engenharia Torrent Livro Estradas De Rodagem Projeto

Encontre livro projeto geométrico de rodovias pdf download aqui. Administrador Resenhas de Livros blog 2019 compartilha informações e imagens relacionadas ao livro projeto geométrico de rodovias pdf download que estamos procurando do compartilhamento de recursos.

Untitled

Projeto Geométrico De Rodovias Projeto Geométrico De

Glauco Exercicios Resolvidos 1

Engenharia Torrent Livro Estradas Projeto Geométrico E De

Estradas Inserir Descrição Docsity

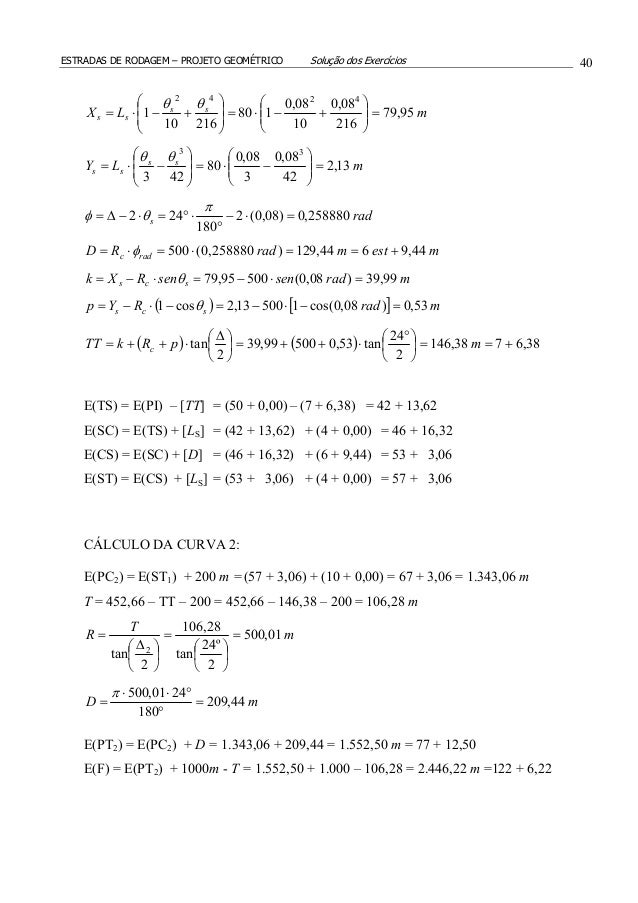
Estradas De Rodagem Projeto Geométrico Resolução Dos Exercícios

Untitled

Projeto Geometrico

Editora Ciência Moderna

Assenotec Introdução Ao Projeto Geométrico De Rodovias

Projeto Geometrico De Rodovias Carlos R T Pimenta Projeto

Glauco Exercicios Resolvidos 1

Projeto Geométrico De Rodovias

Doc Projeto Geométrico Rodovia X Ferrovia Leonardo

Estradas Estudos Sobre Acidentes

Abaixo estão as fotos do livro projeto geométrico de rodovias pdf download que o administrador blog Resenhas de Livros 2019 coletou.


Subscribe to receive free email updates:

0 Response to "Livro Projeto Geométrico De Rodovias Pdf Download"

Post a Comment